胆道癌包括一系列恶性肿瘤,包括胆管癌、胆囊癌和Vater壶腹癌,这些肿瘤通常出现在晚期临床阶段,具有高度侵袭性的病程和不良预后。吉西他滨联合顺铂是晚期胆道癌的标准一线治疗,且中位总生存期<12个月。二线治疗的方案是有限的,尽管最近的一项随机的III期研究表明,5-氟尿嘧啶联合奥沙利铂(FOLFOX)有一定的OS获益。现有的靶向治疗药物仅针对出现特定靶点突变的患者,因此,对于以前治疗过的晚期胆道癌患者,迫切需要更有效和耐受性更好的治疗方法。
在胆道肿瘤中,META分析发现HER2和HER3的过表达率分别为26.5%和27.9%,扩增率分别为30.1%和26.5%。亚组分析显示,包括胆囊癌在内的肝外胆道癌亚型中HER2过表达和扩增率(分别为19.9%和22.5%)高于肝内胆管癌(分别为4.8%和17.6%)。除此之外,EGFR和HER4的过表达也在胆道肿瘤中被检测到。
Varlitinib是一种靶向EGFR、HER2和HER4的可逆小分子泛HER抑制剂,可以有效拮抗EGFR、HER2和HER4,varlitinib还有效抑制缺乏激酶域的HER3异质二聚体。临床前研究中,Varlitinib抑制胆管癌细胞系增殖,促进细胞凋亡,抑制胆管癌异种移植模型中肿瘤生长,并与磷脂酰肌醇3-激酶(PI3K)抑制协同作用。早期临床研究表明,Varlitinib联合吉西他滨+顺铂或联合5-氟尿嘧啶/卡培他滨+铂类化合物作为晚期胆道癌的一线治疗具有良好的抗肿瘤活性。
今天我们就跟大家分享一项TreeTopp研究的结果,该研究旨在确定伐利替尼联合卡培他滨二线治疗晚期胆道肿瘤的安全性和有效性。
这是一项单臂、开放标签、双盲、随机、安慰剂对照的II期研究,共有127名患者随机接受Varlitinib加卡培他滨(n = 64)或安慰剂加卡培他滨(n = 63)治疗,所有随机患者接受至少一剂研究治疗。本研究的共同主要终点是ICR根据RECIST v1.1确定的客观缓解率(ORR)和无进展生存期(PFS);次要终点包括总生存期(OS)和不良反应。
在生存分析的数据截止点(2020年7月15日),中位随访时间为7.5个月。研究结果显示,Varlitinib加卡培他滨的ORR为9.4%,安慰剂加卡培他滨的ORR为4.8%,但差异没有达到统计学意义(P=0.42)。此外,没有患者达到CR。
Varlitinib加卡培他滨的中位无进展生存期为2.83个月,而安慰剂加卡培他滨的中位无进展生存期为2.79个月(HR, 0.90;95%CI 0.60-1.37;P=0.63)。
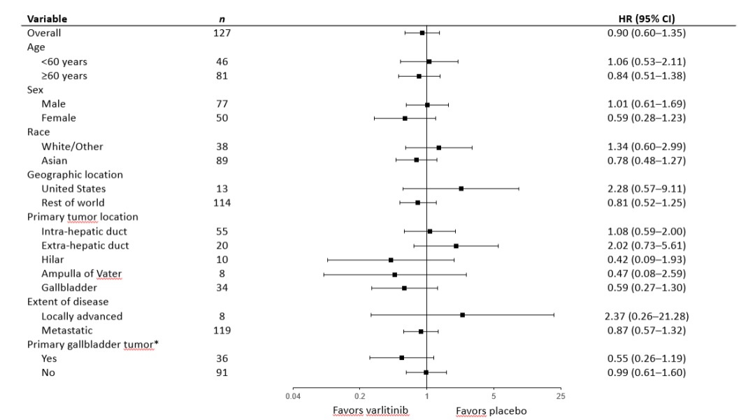
Varlitinib加卡培他滨的中位OS为7.8个月,而安慰剂加卡培他滨的中位OS为7.5个月(HR, 1.11;95%CI 0.69-1.79;P=0.66)。
预先指定的亚组分析表明,联合Varlitinib可能为女性患者(4.1 vs 2.8个月)和胆囊癌患者(2.9 vs 1.6个月)带来无进展生存期获益。
与安慰剂加卡培他滨组相比,Varlitinib加卡培他滨组患者中出现3级治疗紧急不良反应(TEAE)的比例稍高(65.6% vs 58.7%)。血胆红素升高、贫血和高胆红素血症是Varlitinib联合卡培他滨治疗组中最常见的3级TEAE。
综上所述,TreeTopp研究显示,在一线治疗后疾病进展的晚期胆道癌患者中,与卡培他滨单独使用相比,Varlitinib加卡培他滨并没有在统计学上改善ORR、PFS或OS。在这一结果基础上,计划好的第二部分研究被取消了。但是Varlitinib联合卡培他滨的耐受性一般良好。
讨论
目前,二线治疗中晚期胆道癌的标准治疗方法是FOLFOX化疗。这是基于一项随机III期研究(ABC-06)的证据,该研究表明,与单独使用主动症状控制组相比,在主动症状控制组中添加FOLFOX可适度延长OS(6.2个月 vs 5.3个月;P=0.031)。TreeTopp研究的中位无进展生存期(2.83个月)也低于ABC-06研究的FOLFOX方案(4.0个月)。当然,TreeTopp试验每6周进行一次放射学评估,而ABC-06试验每12周进行一次放射学评估,这可能影响了这些结果。
靶向治疗已经在胆道癌症患者中显示出令人鼓舞的疗效。例如,FGFR和IDH突变分别在11%和20%的肝内胆管癌中被报道,但在其他胆道肿瘤中很少发现。尽管HER在晚期胆道癌中提供了一个合理的靶点,但与本研究结果一致的是,之前针对HER靶向药物的研究,包括西妥昔单抗和帕尼单抗(EGFR抗体)、厄洛替尼(EGFR抑制剂)、拉帕替尼(EGRF/HER2抑制剂)、阿法替尼(泛HER抑制剂)均显示阴性结果。
本研究预先指定的亚组分析表明,Varlitinib可能对女性患者和胆囊癌患者有益。这可能是因为与男性相比,胆囊癌在女性中更常见;与肝内胆管癌相比,HER2过表达在胆囊癌中更常见。因此,研究人员推测在选定的HER2过表达患者中可能更容易观察到Varlitinib的抗肿瘤作用。然而,目前的研究还没有得出关于Varlitinib在这些患者中的适用性的强有力的结论。
本研究在纳入时由于缺乏对患者的选择而受到限制,对于Varlitinib的进一步研究将需要根据HER状况对患者进行适当的选择。虽然目前还没有进一步研究Varlitinib联合卡培他滨用于胆道癌的二线治疗,但临床前研究结果支持Varlitinib联合其他药物(如PI3K抑制剂)的未来研究。
参考来源:
Varlitinib plus capecitabine in second-line advanced biliary tract cancer: a randomized, phase II study (TreeTopp)
本文仅供医学药学专业人士阅读















X