作为首款获批肝癌二线的国产抗血管生成药物,阿帕替尼好像并不打算止步于此。既往我们已经报道过其在胆管癌治疗中的疗效,对于缺乏这些靶点变异的患者来说,又多了一种治疗选择。 由于发病率低、异质性强,一线治疗失败后,对先进BTC的临床研究报告仍然有限。目前,尚未对在标准一线化疗中取得进展的晚期BTC患者进行既定的二线治疗。那么对于除胆管癌外的其他难治性胆道肿瘤患者来说,阿帕替尼治疗是否同样有效?
这是一项由调查者发起,单中心、单臂、开放标签的探索性II期临床试验。入组患者为既往对至少一种化疗方案(包括吉西他滨)的耐药或不耐受的不可切除的局部晚期或转移性胆道肿瘤患者。
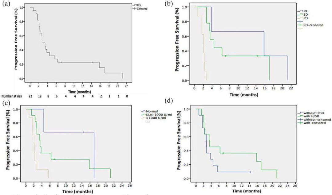
从2018年1月26日至2020年7月1日,共有22名转移性BTC患者入选本研究。本研究计划整个入组时间为3年,但由于入组速度慢,在入组开始后的2.5年内(2018年1月至2020年7月),仅入组了22例患者,尚未达到预期入组人数。因此,研究人员停止了后续的入组,这22名患者在最终分析中被报告。
22名患者都至少接受过一次阿帕替尼治疗,其中20例患者可进行疗效评估。截止2021年2月4日,两例患者仍接受阿帕替尼治疗,平均随访时间为5.25个月(范围0.97-24.93个月)。患者接受阿帕替尼药物治疗的中位时间为2.68个月(范围为0.37-21.10个月)。21例患者接受了500 mg的初始剂量的阿帕替尼治疗,1例患者由于有肺间质疾病史,以250 mg的剂量开始了阿帕替尼治疗。
在可评估人群(N = 20)中,20例患者中有3例达到临床客观缓解(3例PR,无CR),因此ORR为15.0% (95% CI: 0-30.0%)。SD 9例(45.0%),PD 8例(40.0%),DCR为60.0% (95% CI: 40-80.0%)。肝内胆管癌(ICC)患者的ORR为10.0% (1/10),肝外胆管癌(ECC)患者为50.0%(1/2),胆囊癌患者为12.5%(1/8)。
伴有肝转移的患者的ORR为22.2%,DCR为66.7%;伴有肺转移的患者ORR为16.7%,DCR为50%;伴有淋巴结转移的患者ORR为10%,DCR为50%。
在意向治疗(ITT)人群中,研究人员评估的中位PFS为2.73个月。估计3个月的无进展生存率为50.0%。估计6个月的无进展生存率为27.3% 。采用单因素Cox回归分析不同临床特征亚组的中位无进展生存(PFS)。
尽管该探索性试验在每个亚组中患者人数非常少,但研究仍显示PR应答患者的中位无进展生存期(PFS)显著优于SD和PD患者(mPFS: 15.83 vs 4.43 vs 2.03个月;p = 0.000)
此外,血液中CA19-9的基线水平(>1000 U/ml;ULN~1000u /ml;正常)与PFS显著相关(HR = 3.087;95%CI:1.374 6.934;p = 0.006)。治疗前较高水平的CA19-9表明PFS较差:正常 vs ULN~1000 U/ml vs >1000 U/ml患者的mPFS分别为17.03个月 vs 4.43个月 vs 2.03个月;p = 0.007)。
而性别、年龄、原发部位、原发肿瘤是否切除、ECOG功能状态、既往治疗行数、转移器官数量、是否肺转移、是否肝转移对PFS均无明显影响。
ITT人群的中位OS为4.81个月。6个月OS率为45.5%,12个月OS率为36.4%。PD、SD或PR的临床反应(HR = 4.325;95%CI:1.562-11.974;p = 0.005)、大于1000 U/ml, ULN至1000 U/ml或正常的基线CA19-9水平(HR = 7.710;95%CI:2.434-24.426;p = 0.001)为预后指标。临床反应较好的患者明显有较长的OS (p = 0.002)。同样,基线CA19-9水平较低预示着OS明显较好(p = 0.000)。
在安全性方面,40.9%的患者(9/22)经历了3-4级不良反应。包括掌-足底感觉红肿综合征(3例,13.6%)、高血压(2例,9.1%)、血小板计数下降(也称为血小板减少,1例,4.5%)、蛋白尿(1例,4.5%)、恶心和呕吐(1例,4.5%)和肺炎(1例患者,4.5%)。
在一项后期分析中,出现与治疗相关的手足综合征(HFSR)患者(n = 11.50%)比未出现HSFR的患者有更长的OS(中位OS为12.83个月vs 4.23个月;HR = 0.344;p = 0.041)。无进展生存期同样有延长趋势,但差异无统计学意义(中位无进展生存期为3.53个月vs 2.70个月;HR = 0.511;p = 0.173)
在进一步的分析中,截止点设置为中位OS为4.81个月,入组患者被分为OS<4.81个月(n = 10)和OS≥4.81个月(n = 12)的患者。对于OS <4.81个月的患者,HFSR不再对OS有预后影响(p = 0.593)。对于OS≥4.81个月的患者,HFSR也不是OS的预后因素(p = 0.904),这表明HFSR可能不是实际的生存预后因素。
这项探索性II期临床研究的目的是评估阿帕替尼在至少一种吉西他滨基化疗难治性转移性BTC患者中的疗效和安全性。这是首次报道的前瞻性试验,评估了阿帕替尼单药治疗转移性BTC患者。考虑到BTC的发生率低、预后差,将PFS作为本次前瞻性研究的主要终点,样本量相对较小。在2.5年内,共纳入22例符合条件的患者,接受阿帕替尼治疗。结果显示,ITT分析的mPFS为2.73个月,3个月PFS率为50.0%,6个月PFS率为27.3%,表明阿帕替尼具有良好的抗肿瘤活性,符合研究人员的预期。安全性数据也显示口服阿帕替尼对转移性BTC有良好的耐受性。
在这项有限样本量的试验中,对阿替尼治疗的反应和CA19-9基线水平与PFS和OS显著相关。CA19-9浓度较低且对阿帕替尼反应较好的患者可能有较长的PFS和OS。既往一项多中心研究报告显示,基线状态较好、CA19-9水平较低且接受肿瘤手术的晚期胆道癌患者与无这些特征的患者相比,二线治疗预后较好。然而,该试验纳入患者数量太少,这些预后分析都不能下结论。未来迫切需要进行更大规模的阿帕替尼治疗BTC的试验来证实这些结论。
参考文献:
Apatinib for patients with metastatic biliary tract carcinoma refractory to standard chemotherapy: results from an investigator-initiated, open-label, single-arm, exploratory phase II study
							
						
本文仅供医学药学专业人士阅读

 
 
				 
							
.jpg-pd13)
.jpg-pd13)
.jpg-pd13)
.jpg-pd13)












 
		 
            
           
	   
	    
 
   X
		X