随着精准治疗的盛行,靶向和免疫药物逐渐占领晚期肝癌市场,而HAIC和TACE治疗仍局限在中晚期肝癌患者的治疗中。反复经动脉化疗栓塞(TACE)与肝功能下降和治疗反应差有关。对113例中期HCC患者进行了倾向评分匹配研究,表明仑伐替尼和TACE交替使用可以延长总生存期并改善预后。前期研究表明,TACE联合阿帕替尼可改善大肝癌患者的OS和PFS。在本研究中,研究人员旨在评估TACE联合仑伐替尼和卡瑞利珠单抗在晚期HCC患者中的治疗效果。
卡瑞利珠单抗联合治疗,
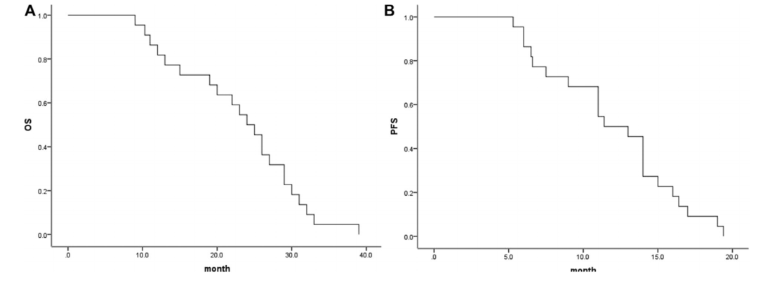
创迄今最高DCR
22名接受TACE+仑伐替尼和卡瑞利珠单抗治疗的晚期HCC患者被纳入这项回顾性研究。在22例患者中,主要为乙型肝炎病毒感染(68.2%)。其中Child-Pugh A型HCC 16例(72.7%),Child-Pugh B型HCC 6例(27.3%)。BCLC B期和C期HCC患者分别为12例(54.5%)和10例(45.5%)。11例患者(50%)被认为有门静脉肿瘤血栓(PVTT)。在整个治疗周期中,只有3例(13.6%)患者减少仑伐替尼剂量,1例(4.5%)患者因耐受性不好而暂时停用卡瑞利珠单抗。
联合治疗1周(D7)后,AST、ALT水平显著升高(54.27±16.55vs.47.55±17.46,p<0.001;52.36±15.57vs.44.68±13.74,p<0.001);与治疗前(D0)相比,白蛋白水平降低(32.18±4.07 vs. 33.77±4.98,p=0.011)。然而,TBIL在D7组与D0组(p= 0.154)和D30组与0组(p= 0.921)之间没有差异。所有这些水平在第一个联合治疗周期(D30)后1 个月回到基线水平。因此,D30与DO之间的AST、ALT、ALB、TBIL水平无显著差异(p<0.05)。
联合治疗后1、3个月首次随访CT、MRI肿瘤反应分析中,ORR分别为96%、94%,DCR分别为100%、96%。中位PFS为9.5个月(95% CI, 8.1 10.9个月),中位OS为22.0个月(95% CI, 20.2 23.9个月)。1年和2年OS率分别为62.5和20.5%。
单变量Cox比例风险回归分析表明,ECOG评分(2 vs 0~1)与较短的OS和较短的PFS相关(p< 0.001和p = 0.0015)。此外,Child-Pugh分级(A vs B) (p= 0.001和0.022)、PVTT (p= 0.002和p= 0.023)和肝外转移(p < 0.005)与较短的OS和PFS相关。肝内转移与较短的OS相关(p= 0.030),但与较短的PFS无关(p= 0.333)。多变量Cox回归显示PVTT (p = 0.024)和肝外转移(p = 0.039)是晚期HCC患者更差OS的独立预测因素,而肝外转移(p =0.022)独立预测了晚期HCC患者更短的PFS。
安全性方面,在所有纳入的患者中,治疗相关不良反应(TRAE)均为轻到中度,未出现不良反应相关死亡。4例患者(18.2%)发生3/4级TRAE: 2例高血压,1例手足综合征,被迫减少仑伐替尼剂量,1例4级发声困难,最终导致卡瑞利珠单抗治疗6个月后中断。
国产/进口PD-1三联方案火热开展中,
谁能拿下首胜?
1、K药三联方案为中国晚期肝癌患者带来新希望
研究人员确定了220例连续接受帕博利珠单抗+仑伐替尼+TACE或仑伐替尼+TACE方案治疗的PD-L1表达的uHCC患者,其中78例根据纳入和排除标准被排除。最终,共有142例患者符合条件,其中70例采用博利珠单抗+仑伐替尼+TACE方案,72例采用仑伐替尼+TACE方案。
研究结果显示,达到了转化治疗、OS和PFS的主要终点。中位随访时间为27个月(95% CI 26.3-28.7个月)。帕博利珠单抗+仑伐替尼+TACE组的客观缓解率(ORR)为47.1%,仑伐替尼+TACE组为27.8% (p=0.017);疾病控制率(DCR)分别为70%和52.8%(p=0.036)。mRECIST 1.1版本的独立影像学检查发现肿瘤大小的缩小有显著差异,帕博利珠单抗+仑伐替尼+TACE组为90.0% (63/70),仑伐替尼+TACE组为72.2% (52/72),p = 0.007。
在整个研究人群中,帕博利珠单抗+仑伐替尼+TACE组的3个月、6个月和12个月OS率分别为98.5%、97.1%和82.4%,仑伐替尼+TACE组分别为94.4%、84.7%和63.8%。两组间的中位OS时间存在显著差异,与仑伐替尼+TACE方案相比,帕博利珠单抗+仑伐替尼+TACE方案显著改善了中位OS时间(18.1 vs 14.1个月),死亡风险显著降低了44% (p = 0.004)。
2、信迪利单抗加入战场,一线治疗DCR高达80%
这是一项为期22个月的中国单中心回顾性队列研究,分析了接受信迪利单抗单药治疗(信迪利单抗单药组)、信迪利单抗-索拉非尼双药治疗(双药组)或信迪利单抗-索拉非尼联合TACE治疗(三联组)的肝癌患者数据。共80例患者纳入本研究(22例给予信迪利单抗,23例给予信迪利单抗联合索拉非尼,35例给予信迪利单抗、索拉非尼联合TACE)。
截至2020年12月31日临床数据收集截止日期,所有患者的中位OS为11.0个月(95% CI 7.7-14.3)。三联治疗组的中位OS为13.0个月(95% CI NE-NE),是三个治疗组中时间最长的(p<0.0001)。相比之下,单药组的OS为3.0个月(95% CI 1.9 4.1),而双药组的OS为9.0个月(95% CI 6.3 11.7)(p=0.005)。而三联组的OS明显长于双药组(p=0.040)。
可以看出,目前肝癌的治疗已经逐渐转向三联治疗。上述三种联合治疗方案,都显示出三联方案的优效性,DCR都高于80%,甚至可以达到100%。可以看出三联方案在晚期肝癌中的治疗前景广阔,TACE一类的局部治疗也将不再局限于中晚期肝癌患者,更大可能惠及更多的患者。值得注意的是,上述三项研究都是回顾性研究,因此还需要进一步的前瞻性研究来证实联合治疗的疗效。
参考文献:
Liu J, Li Z, Zhang W, Lu H, Sun Z,Wang G and Han X (2021). Comprehensive Treatment of TransArterial Chemoembolization PlusLenvatinib Followed by Camrelizumabfor Advanced HepatocellularCarcinoma Patients
本文仅供医学药学专业人士阅读



.jpg-pd13)

.jpg-pd13)











X