免疫单药疗效的局限,迎来了联合治疗的爆发。其中,PD-1单抗纳武利尤单抗(O药)+CTLA-4单抗伊匹木单抗(Y药)的“O+Y”双免组合截至目前已经获得FDA批准六大适应症,进一步奏响了CTLA-4单抗+PD-1单抗的双免时代的号角。
在中国高发的食管鳞癌治疗中,化疗仍扮演着“基石”的角色,目前获批的一线免疫疗法均需要联合化疗使用。随着免疫治疗的兴起,晚期食管鳞癌迎来了一线“无化疗”的首个重大突破!近日,FDA 就已接受纳武单抗 (Opdivo) +伊匹单抗 (Yervoy) 和纳武单抗+氟嘧啶和含铂化疗药物,用于不可切除的晚期、复发或转移性食管鳞状细胞癌的成人患者一线治疗的补充生物制剂许可申请 (sBLAs)。
申请是根据2021年美国临床肿瘤学会(ASCO)年会上,一项重磅研究CheckMate -648试验数据。CheckMate -648研究是一项III期、随机、全球临床研究,旨在评估以纳武利尤单抗(O药)为基础的免疫联合疗法,对比单独化疗(5-氟尿嘧啶+顺铂)用于晚期或转移性食管鳞癌一线治疗的疗效。
试验共纳入包括中国患者在内的970名先前未经治疗且不可手术的晚期或转移性食管鳞癌患者, 样本规模在食管鳞癌免疫治疗领域创下纪录。根据 PD-L1 肿瘤细胞表达(≥1% vs ≤1%)、地区(东亚 vs 亚洲其他地区 vs 世界其他地区)、体能状态(0 vs 1)和转移器官数量对患者进行分层(≤1 对 ≥2)。
研究设计了两个免疫治疗试验组,和一个化疗组。以 1:1:1 的比例,每 2 周 240 mg O 药加每 4 周一次氟尿嘧啶和顺铂(n = 321)、每 2 周 3 mg/kg 纳武单抗加 1 mg/kg Y 药每 6 周 (n = 325),或每 4 周氟尿嘧啶加顺铂 (n = 324)。分别为:
PD-1抑制剂O药+化疗(5-氟尿嘧啶+顺铂)组;双免疫治疗O药联合CTLA-4抑制剂伊匹木单抗(O+Y)组;化疗组。
试验的主要终点是 PD-L1 表达≥1% 的患者亚组的 生存率(OS )和 无进展生存期(PFS),关键次要终点包括全随机人群的 OS 和 PFS 和客观缓解率 (ORR)在两个人群中。
实验结果显示,在PD-L1≥1%的患者中,O+Y组(n = 158)的中位OS为13.7个月(95% CI,11.2-17.0),化疗组为9.1个月(95% CI,7.7-10.0)(HR 0.64; 98.6% CI: 0.46-0.90, p=0.001),数据表明PD-L1≥1%的患者将有更大获益,但PFS终点尚未达到。并且研究人员观察到,患者不论是否表达PD-L1,中位缓解持续时间(DoR)均可达近一年 (PD-L1≥1%:11.8个月;所有随机患者:11.1个月),效果明显优于化疗(分别为5.7和7.1个月)。
所有随机患者中,获益不受 PD-L1表达的限制 ,且O+Y组中位OS为12.8个月,化疗组为10.7个月(HR 0.78, 98.2% CI: 0.62-0.98, p=0.011),统计差异具有显著性。
O+Y组3/4级不良事件发生率为32%(化疗组为36%)。得益于先前多项以O+Y为基础的III期研究积累的剂量探索经验,CheckMate -648采取了联合O药与小剂量伊匹木单抗(1 mg/kg, Q6W)的用药策略,可以在取得疗效的同时最小化不良反应,从而凸显“无化疗”的优势。
任时间呼啸而过,
O+Y大旗屹立不倒!
2015年10月,FDA批准O+Y用于晚期恶性黑色素瘤的一线治疗。基于Checkmate069研究,O+Y一线治疗晚期黑色素瘤,有效率60%,17%的患者达到完全缓解!
2018年4月,FDA批准O+Y用于晚期肾癌的一线治疗。基于Checkmate214研究,O+Y一线治疗晚期肾细胞癌患者,有效率为42%,9%的患者达到完全缓解。
2018年7月,FDA批准O+Y用于经治MSI/dMMR肠癌患者,基于Checkmate142研究,O+Y二线治疗晚期MSI/dMMR肠癌患者,有效率为31%,5%患者肿瘤完全消失。
2020年3月,FDA批准O+Y用于既往索拉菲尼耐药的晚期肝细胞肝癌患者。基于Checkmate040研究,O+Y二线治疗晚期肝癌,有效率为33%,8%的患者达到完全缓解。
2020年5月15日,FDA批准O+Y用于EGFR/ALK突变阴性的PD-L1≥1%的晚期非小细胞肺癌的一线治疗适应症。基于Checkmate227研究,O+Y一线治疗PDL1≥1%的晚期肺癌患者,3年生存率为33%;PDL1阴性患者,3年生存率34%!
2020年5月26日,FDA批准O+Y+2周期含铂化疗用于EGFR/ALK突变阴性的晚期非小细胞肺癌的一线治疗适应症。不受PD-L1表达水平和组织学类型限制。基于Checkmate-9LA研究,采用三联组合,1年生存率(OS)可达63%!
凭实力说话,
双免的广覆盖不是说说而已!
一、覆盖人群更广,
不存在PDL1表达限制因素,
实现全人群的一线去化疗!
以肺癌一线为例,目前K药单药能够覆盖的人群只在PDL1≥1%的晚期肺癌患者层面,且仅在PDL1≥50%的患者群中有绝对的优势,在1%-49%的患者群中,优势无统计学差异。
二、双免可以解决单免耐药问题
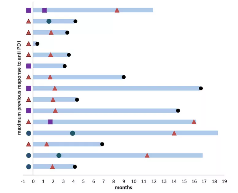
1. 肾癌:PD-1耐药后使用O+Y双免疗法仍然获益
这是一项回顾性分析,共入组45例接受过针对PD-1通路治疗的转移性肾细胞癌患者,并且接受了至少一个疗程的“O+Y”治疗。所有患者都有一个以上的转移部位,38%有脑转移。研究结果表明,所有患者的ORR为20%,PR为20%,7例患者(16%)疾病稳定。mPFS为4个月,mDOR为7个月。45例患者中有29例(64%)出现免疫相关不良反应(irAEs),其中6例(13%)报告了3-4级irAEs 。
2、肺癌
伊匹单抗联合抗PD-1对于PD-1/PD-L1耐药患者有效这是一项回顾性分析,共入组21例接受PD-1/PD-L1治疗后疾病复发的NSCLC患者,均接受抗PD-1药物(纳武利尤单抗,3mg/kg/2周或帕博利珠单抗2mg/kg/3周)和伊匹单抗(1mg/kg/4周)治疗。研究结果表明,DCR为33.3%,2名患者PR,3名患者SD;中位进展时间PFS为2个月,5例PR/SD患者中有4例在进展前持续受益8、12、14和16个月。免疫相关不良反应发生率为40%,2名患者出现3级腹泻,需要使用类固醇并停止免疫抑制剂治疗,1名患者死于5级肺炎。
3、黑色素瘤:
双免联合克服PD-1耐药,疗效可期!迄今为止最大的前瞻性研究(NCT02743819)入组患者为未接受过CTLA-4抗体治疗,并且在使用抗PD-1抗体后出现了肿瘤进展的转移性黑色素瘤患者。给予帕博利珠单抗200mg+伊匹单抗1mg/kg,每3周1次,共4个剂量的治疗,之后再予帕博利珠单抗单药治疗2年。研究主要终点为ORR。研究结果显示,根据irRECIST评估的ORR为27%,包括5例完全缓解以及14例部分缓解。mPFS为5个月(95%CI,2.8-8.3),mOS为24.7个月(95%CI,15.2-未确定)。19/70(27%)的病例出现了3-4级的治疗相关的不良反应(TRAE),最常见的是腹泻、皮疹和转氨酶升高。
4、双免相比单免,可以获得更高的完全缓解率,以及更长的无进展生存时间。
在O+Y双免获得的各大适应症中,除了较高的有效率外,一种无数肿瘤患者追求的完全缓解率即肿瘤全消的CR状态发生比率也比较高。以及在单免尚未获得适应症的肾癌一线和肝癌二线上,也获得了不错的有效率和8%-9%的CR率,明显高于目前的标准治疗。
这都意味着更高比例的患者能在早期从双免治疗中获得肿瘤的完全消退,疾病的早期控制对于患者生存质量的提升和治疗信心,将是巨大的。也无疑会推动生存的提升。而除了早期的CR率外,在无进展生存时间PFS上,双免治疗相比单免也为患者带来了更长的无进展生存时间,在一项比较双免对比K药在PDL1阳性晚期非小细胞肺癌患者一线数据疗效时,双免的PFS获益趋势更加明显,相比单免,下调了23%的进展风险!为患者一线赢得更长的缓解时间。
							
						
本文仅供医学药学专业人士阅读

 
				
							
.jpg-pd13)
.jpg-pd13)












		
           
           
	  
	   
 
  
		X