作为突变发生率最高的靶点,BRAF V600E突变发生比例约为55%。BRAFV600E靶向治疗主要包含单药BRAF抑制剂达拉菲尼,以及双靶方案BRAF抑制剂达拉菲尼+MEK抑制剂曲美替尼。而DREAMseq 、COMBI-D、COLUMBUS、CheckMate 067等研究的出现,也确定了在治疗BRAF领域中,双靶、双免的一线治疗地位!
免疫序贯靶向,黑色素瘤患者
2年OS率可提高20%!
近日,根据美国临床肿瘤学会 (ASCO) 全体会议公布的 DREAMseq 第 3 期试验 (NCT02224781) 的数据结果,对于未经治疗的 BRAF 突变转移性黑色素瘤患者,通过调节免疫volumab+ipilimumab (O+Y)和达拉非尼+曲美替尼的出场顺序,就可以使患者提高 20%的总生存率(OS)!
DREAMseq是一项多中心Ⅲ期临床试验,患者按照1:1的比例随机分配至纳武利尤单抗+伊匹木单抗(O+Y)或达拉非尼+曲美替尼的不同顺序组合,主要终点是2年后的OS率。
(1)患者接受O药+Y药诱导治疗 12 周,然后接受O药维持治疗长达 72 周,并在疾病进展后继续接受达拉非尼和曲美替尼;
(2)持续使用达拉非尼加曲美替尼,然后序贯Y药和O药治疗,随后在疾病进展时继续维持O药。
截至 2021 年 7 月 16 日,133 名患者参加了先O+Y组,132 名患者参加了先达拉非尼+曲美替尼组。
研究人员发现,经过10个月的治疗后,起始免疫疗法的OS获益优势逐渐明显,并显示出更长的缓解持续时间,以及更高的持续缓解率:先免疫治疗和先达拉非尼+曲美替尼的ORR 46% vs 43%;先免疫治疗和先达拉非尼+曲美替尼的DoR:NR vs 12.7个月。
在中位随访27.7个月期间:先免疫的2年OS:72%(95%CI,62~81%);先达美+达拉非尼+曲美替尼的2年OS:52%(95%CI,42~62% (P =0 .0095)!相较于先达拉非尼+曲美替尼靶向治疗患者,先免疫治疗的2年OS率提高了20%!
显然O+Y的组合可以产生更持久和持续的反应!相比之下,在达拉非尼+曲美替尼治疗进展后,在序贯O+Y组数据不如组别(1)疗效好!
在安全性方面,免疫治疗优先策略的≥3级毒性略高于靶向治疗优先策略,且免疫起始组患者发生3例治疗相关死亡(2例在免疫一线阶段,1例在达美+达拉非尼+曲美替尼二线阶段)。起始免疫的≥3级AE率为60%,起始达美+达拉非尼+曲美替尼的≥3级AE率为52%。
早在今年ESMO大会中,从更新的SECOMBIT Ⅱ期研究数据结果来看,更倾向于“双免序贯双靶”,在ASCO月会上公布的DREAMseq Ⅲ期研究也再次印证了这一观点!
SECOMBIT旨在探讨靶向和免疫的最佳序贯模式,中位随访时间为32.2个月,A组(先达拉+曲美)的2年和3年OS率分别为65%和54%,B组(先O+Y)分别为73%和62%。A组的2年和3年PFS率分别为46%和41%,B组分别为65%和53%。
两两组合,D+T疗效
明显由于免疫组合
达拉非尼和曲美替尼分别是诺华研发的BRAF V600E、MEK抑制剂,分别靶向丝氨酸/苏氨酸激酶家族中的不同激酶 – 分别为BRAF和MEK1/2 – 在RAS /RAF /MEK /ERK途径中,达拉非尼抑制BRAF V600E激酶,导致ERK磷酸化降低和抑制细胞的增殖,使基因突变的BRAF V600E的癌细胞生长停滞,并导致细胞死亡,其与非小细胞肺癌(NSCLC)和黑素瘤等其他癌症有关。
2019年12月,该组合在国内上市,NMPA批准达拉非尼与曲美替尼治疗BRAF V600阳性晚期黑色素瘤。
2020年3月,该联合疗法获NMPA批准第二个适应症,为BRAF V600突变阳性的III期黑色素瘤患者完全切除后的辅助治疗。
根据COMBI-d/v及COMBI-AD研究,研究是黑色素瘤治疗领域的突破性进展,该研究为BRAF突变的黑色素瘤患者带来了巨大变革,进一步降低了BRAF突变黑色素瘤的复发风险并且改善了患者的生存。
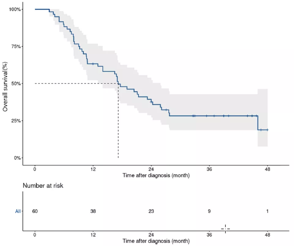
此分析证实了D+T在中国BRAF V600突变晚期患者中的疗效:
D+T是一线靶向治疗首选,一线治疗一线治疗人群mPFS 11.2个月,3年PFS 20%;mOS 24个月,3年OS 44.5%,总体人群中位PFS 9.3个月(95%CI, 8.4~10.3),3年PFS 11.1%(95%CI,3.3%~18.9%)
中位OS 17.6个月(95%CI,13.1~22.1),3 年OS 28.8%(95%CI,19.1%~43.6%)。
D+T一线治疗患者ORR高达86.7%,显著优于PD-1单抗治疗中国人群的ORR 17.3%~21%。单从靶向和免疫联合疗效来看,显然D+T略胜一筹!
参考资料:
https://www.cancernetwork.com/view/lifileucel-plus-pembrolizumab-yields-positive-orr-in-advanced-cancers
本文仅供医学药学专业人士阅读














X