当前位置: 首页PD-1资讯正文

PD-1与PD-L1到底哪个更好?中外专家吵起来了

|2020年03月13日| 浏览:2.25万
截止目前,国内一共有6个PD-1抗体和2个PD-L1抗体上市,获批的适应症包括恶性黑色素瘤、非小细胞肺癌、小细胞肺癌、霍奇金淋巴瘤、头颈鳞癌和肝癌等等。有些患者和专家感叹道:都可以凑成两桌麻将了。

免疫治疗没有在国内上市的时候,病友们问的最多的问题是到哪里可以买到PD-1(PD-L1)抗体,到哪里可以用这些药。现在,一大把PD-1(PD-L1)抗体在国内上市了,病友们纷纷陷入“选择困难综合征”,咨询最多的问题就是:这些药到底有什么区别,选哪个更好?

关于这个问题,咚咚肿瘤科其实已经做过非常多的科普。

答案无外乎两条:

■ 第一条,较真起来的话,就按照说明书上指定的用药做选择。比如截至目前只有K药被批准联合化疗,用作晚期非小细胞肺癌的一线治疗;而如果是晚期非小细胞肺癌的二线治疗,又不愿意检测PD-L1表达,那么根据说明书的限制,只能选O药。如果是同步放化疗之后未出现疾病进展的不可切除的III期非小细胞肺癌,目前有I药获批可用。


■ 第二条,如果不那么较真,单纯从药物的疗效、副作用以及价格上考虑,那么多数时候医生会说其实这些药差别很小,选一个价格最便宜、性价比最高的得了。但是,这些PD-1抗体、PD-L1抗体真的毫无区别么?事实上,由于没有头对头的比较,关于这个问题,最近一两年内国内外学者发表了众多结论迥异的结果。


欧美专家:PD-1抗体和PD-L1抗体疗效相似,PD-L1抗体副作用可能更小


关于PD-1抗体和PD-L1抗体的疗效问题,欧美专家进行过五六项大规模的、纳入几千甚至上万人的荟萃分析,基本的结论就是在同一种肿瘤中,这两类单抗治疗的有效率、生存期无统计学差异。

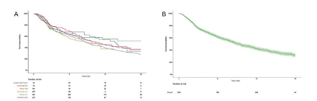
最新的例子是,2019年12月,美国纽约的MatthewD. Galsky教授在泌尿系统疾病最权威的学术杂志《欧洲泌尿学》上发表了一项纳入了1315名接受了PD-1抗体或PD-L1抗体治疗的晚期尿路上皮癌患者的资料。

汇总分析显示:随访12个月时候,接受PD-1抗体和PD-L1抗体治疗的患者,生存期平均分别是7.8个月和7.8个月,毫无差异;随访18个月的时候,两组生存期平均为10.1个月和10.0个月,无统计学差异。


副作用方面:欧美专家发现PD-L1抗体相比于PD-1抗体,导致的免疫性肺炎、免疫性甲状腺疾病发生率更低一些,其他方面的不良反应差不多。如果把所有不良反应混在一起计算,PD-1抗体和PD-L1抗体导致的不良反应发生率无统计学差异。

有两项研究发现PD-L1抗体组免疫性肺炎发生率更低。一项是2017年克利夫兰诊所(可别瞧不起这家叫诊所的医院,克利夫兰诊所和梅奥诊所,虽然名字很谦虚,叫做诊所,却是美国排名数一数二的综合性连锁大医院)的VamsidharVelcheti教授统计了3232名接受PD-1抗体治疗和1806名接受PD-L1抗体治疗的晚期肺癌患者的不良反应,尤其是肺炎发生率。他们发现:PD-1抗体治疗组肺炎发生率是3.6%,而PD-L1抗体组肺炎发生率仅为1.3%,两者差异显著。

另外一项类似的研究,是2018年由美国埃默里大学的SSRamalingam教授主持的荟萃分析,一共纳入了3284名接受PD-1抗体治疗和2460名接受PD-L1抗体治疗的晚期实体瘤患者。结果发现,PD-1抗体治疗组发生免疫性肺炎的发生率为4%,而PD-L1抗体组免疫性肺炎发生率仅为2%,相差一倍,有统计学差异。

在上述研究中,除了发现免疫性肺炎,PD-1抗体相比于PD-L1抗体发生率明显更高。免疫性甲状腺疾病,发生率也有一定的差异。PD-1抗体组是6.7%,PD-L1抗体组是4.2%,两组的差异虽然没有达到统计学意义,但是p=0.07,就差一点点就可以宣布有统计学意义了。

因此,2018年,美国哈佛大学的SaraM.Tolaney教授,专门研究了免疫治疗导致的内分泌功能紊乱,尤其是甲状腺疾病。这项纳入7551名患者的大型荟萃分析发现:免疫治疗导致的内分泌功能紊乱最常见的就是甲状腺疾病,比如甲亢和甲减,使用PD-1抗体的患者,相比于使用PD-L1抗体的患者,甲亢的发生率高5.36倍,有明显的统计学差异。

综上所述,欧美专家认为:PD-1抗体和PD-L1抗体,在疗效上基本相似,但是在副作用上,尤其是免疫性肺炎和甲亢发生率上,PD-L1抗体更有优势。其背后的主要原因,他们认为是PD-1抗体会同时阻断PD-1与PD-L1、PD-L2的相互作用,而PD-1/PD-L2的相互作用对于保护肺和甲状腺稳态非常重要。PD-L1抗体不会阻断PD-1与PD-L2的相互作用,这种保护作用得以继续留存,因此免疫性肺炎和免疫性的甲亢,发生率会更低一些。

中国专家:PD-1抗体和PD-L1抗体副作用相似,PD-1抗体疗效可能更好


上述五六项重磅研究陆续发表以后,欧美专家的观点基本在业内陆陆续续得到了认可。不过,最近中国医学科学院肿瘤医院的王洁主任发布了一项结论相反的重磅研究,再一次在业内掀起了激烈的争议。

王洁主任认为既往的研究纳入的患者虽然人数众多,结论也大同小异,但是有一个通病,那就是纳入的患者基线状态差异太大,不同的瘤种、不同的PD-L1表达状态、不同的治疗线数,混在一起分析,没法得到靠谱的结果。

因此,她的团队做了一个精细匹配以后的汇总分析,一共纳入19项大型研究11379名患者的相关数据。

结果发现:在肺癌和胃癌患者中,PD-1抗体相比于PD-L1抗体可以明显延长患者的总生存期,疗效更胜一筹,尤其是当和化疗联合使用的时候。PD-1抗体联合化疗,相比PD-L1抗体联合化疗,患者死亡风险显著降低32%。而在尿路上皮癌和肾癌上,两类抗体治疗的中位总生存期没有差异——PD-1抗体之所以可能疗效更好,王洁教授的解释也是PD-1抗体可以同时阻断PD-1与PD-L1、PD-L2的相互作用,对免疫逃逸通路的遏制功能更全面、更彻底。

另一方面,王洁教授的研究中对于不良反应并未逐一进行对比,只是将所有不良反应、所有免疫性炎症都捆在一起计算,因此他们发现:PD-1抗体和PD-L1抗体导致的不良反应,没有统计学差异。

最后,咚咚再提一次:以上研究都是荟萃分析,并不是严格的头对头的临床试验数据,结论只能参考,不构成医学建议。



参考文献
[1]. ProgrammedDeath-1 or Programmed Death Ligand-1 Blockade in Patients withPlatinum-resistant Metastatic Urothelial Cancer: A Systematic Review andMeta-analysis.EurUrol. 2019 Dec;76(6):782-789.
[2]. Incidenceof Pneumonitis With Use of Programmed Death 1 and Programmed Death-Ligand 1Inhibitors in Non-Small Cell Lung Cancer: A Systematic Review and Meta-Analysisof Trials.Chest. 2017Aug;152(2):271-281
[3]. Comparisonof the toxicity profile of PD-1 versus PD-L1 inhibitors in non-small cell lungcancer: A systematic analysis of the literature.
[4]. Incidenceof Endocrine Dysfunction Following the Use of Different Immune CheckpointInhibitor Regimens A Systematic Review and Meta-analysis.
[5]. Useof Immunotherapy With Programmed Cell Death 1 vs Programmed Cell Death Ligand 1Inhibitors in Patients With Cancer A Systematic Review and Meta-analysis.JAMA Oncol.doi:10.1001/jamaoncol.2019.5367
点击查看全文


本文仅供医学药学专业人士阅读

本文来源: 咚咚肿瘤科 发表,转载请注明来源!如有侵权请联系删除
关键词:
陪伴是最长情的告白,每一天都是上天的馈赠
上一篇

陪伴是最长情的告白,每一天都是上天的馈赠

怎样才算癌症“治愈”?掌握好4个关键指标
下一篇

怎样才算癌症“治愈”?掌握好4个关键指标

阅读相关文章
最新抗癌笔记
top3

新年打卡

2024年02月17日
top4

好久没来

2024年02月17日
top5

CR

2024年02月01日
top6

七周年纪念!

2024年01月25日
扫描下方二维码回复 666 获取解锁验证码
步骤:[ 打开微信]->[ 扫描上方二维码]->[关注"三阴姐妹互助圈"公众号输入 666 获取验证码],即可永久解锁本站全部文章
验证码: