01
国产新型HDAC:
恩替诺特改善晚期患者PFS
恩替诺特是一种新型的、有效的、每周一次的、口服生物可利用的、I类选择性组蛋白去乙酰化酶(HDAC)抑制剂。在之前的一项II期研究中,恩替诺特联合依西美坦显示晚期激素受体(HR)阳性乳腺癌患者的总生存期显著改善。
在今年SABCS上发表的这项三期临床实验中,招募了 ECOG 体能状态为 0 或 1 的绝经前或绝经后中国晚期 HR 阳性、HER2 阴性晚期乳腺癌女性。研究者以 2:1 的比例随机分配至接受每周 5 mg 的恩替诺特(n = 235) +每天25 mg的依西美坦或每周 5 mg 的安慰剂+每天 25 mg 的依西美坦 (n = 119)。给予治疗直至疾病进展或不可接受的毒性。独立审查委员会评估的 PFS 是试验的主要终点;总生存期 (OS)、客观缓解率 (ORR)、临床受益率 (CBR) 和安全性作为次要终点。每8周进行一次肿瘤评估。
结果显示,恩替诺特组的中位 PFS 为 6.32 个月(95% CI,5.30-9.11),而使用安慰剂+依西美坦的中位 PFS 为 3.72 个月(95% CI,1.91-5.49),恩替诺特降低了 26% 的疾病进展或死亡风险。(HR,0.74;95% CI,0.58-0.96;P = .021 )。
关于安全性,最常见的 AE 是血液学毒性,包括中性粒细胞减少症(恩替诺特组 73.2% 与安慰剂组 3.4%)、白细胞减少症(分别为 63.8% 与 5.0%)、血小板减少症(66.8% 与 12.6%)和贫血(21.3%与 6.7%)。
02
瑞博西利一线治疗OS达63.9 个月,
骨转移者有效!
2021 年圣安东尼奥乳腺癌研讨会上公布了 MONALEESA-2 3 期研究 (NCT01958021) 的探索性亚组分析结果。该研究招募了 HR 阳性、HER2 阴性晚期乳腺癌的绝经后女性,这些女性之前没有接受过晚期疾病的治疗,但允许之前(新)辅助内分泌治疗,包括他莫昔芬治疗。
患者以 1:1 的比例随机接受每天 600 mg 的瑞博西利连续 3 周和 1 周的来曲唑每天 2.5 mg(n = 334),或安慰剂+相同的来曲唑(n = 334)。该研究共招募了 668 名患者。本次探索性分析的数据截止日期为 2021 年 6 月 10 日。主要终点是根据 RECIST 1.1 标准在本地评估的无进展生存期,重点次要终点是 OS,其他次要终点包括总体缓解率 (ORR)、临床受益率 (CBR)、生活质量 (QOL) 和安全性。
结果显示:接受瑞博西利+来曲唑治疗的意向治疗 (ITT) 人群的中位 OS 为 63.9 个月,而接受安慰剂加来曲唑治疗的人群的中位 OS 为 51.4 个月(HR,0.76;95% CI,0.63-0.93;P = .004 )。对于仅有骨转移的患者,瑞博西利组合的中位 OS 为 72.6 个月,而安慰剂为 56.4 个月(HR,0.78;95% CI,0.50-1.21);瑞博西利组的 5 年和 6 年 OS 率分别为 58.6% 和 50.2%,而安慰剂组为 47.1% 和 33.8%。在没有仅骨转移的患者中观察到类似的益处,瑞博西利和安慰剂组的中位 OS 分别为 61.5 和 50.3 个月(HR,0.77;95% CI,0.61-0.96)。该人群的 5 年和 6 年 OS 率在瑞博西利组中分别为 50.6% 和 42.6%,而在安慰剂组中分别为 43.0% 和 31.5%。
03
AI显著降低绝经前患者复发率,
但骨折风险增加
研究人员汇总了 7030 名绝经前 ER 阳性乳腺癌患者的个人数据,这些患者参加了以下 4 项不同的随机对照试验:ABCSG 12 (NCT00295646)、TEXT (NCT00066703)、SOFT (NCT0006669) ,和HOBOE (NCT00412022)。入组的患者都接受了卵巢抑制或消融。
试验参与者被随机分配接受 AI 或他莫昔芬治疗 3 年研究期(在 ABCSG 12 中)或其他试验(SOFT、TEXT 和 HOBOE)中的 5 年期。主要结局包括浸润性乳腺癌复发的时间,包括远处、局部或新的对侧原发乳腺癌,以及乳腺癌死亡率。
值得注意的是,这 4 项试验采用了不同的化疗方案。在 ABCSG 12 中,只允许新辅助化疗,5% 的女性接受了这种治疗。在 TEXT 试验中,化疗是可选的,并且对 60% 的参与者与卵巢抑制同时进行。在 SOFT 中,只要患者在完成后仍处于绝经前状态,就在随机分组前给予化疗;SOFT 试验中 54% 的女性接受了这种治疗。最后,在 HOBOE 中,63% 的入组患者在随机分组前接受了化疗。
结果显示,在接受 AI 和他莫昔芬治疗的患者中,绝对复发率分别为 14.7% 和 17.5%;在 5 年的随访中,复发率分别为 10.1% 和 6.9%。总体而言,与他莫昔芬相比,使用AI的女性的年复发率平均低21%(RR0.79,95%0.69-0.90,p=0.0005)。尽管远处复发率降低,但两组的乳腺癌死亡率相似(RR,1.01;95% CI,0.82-1.24;P = .94 )。因此,需要更长时间的随访以正确评估对发病率的影响。
尽管荟萃分析得出了总体结果,但患有 N4+ 疾病的女性似乎并未从 AI 中获益。N0 的风险降低为 29%(RR,0.71;95% CI,0.57-0.89,P = .002),N1-3的风险降低28%(RR,0.72;95% CI,0.58-0.89,P = . 005)。复发风险的增加与 N4+ 相关(RR,1.03;95% CI,0.73-1.46)。
此外,与接受他莫昔芬的女性相比,接受 AI 的女性发生骨折的比例更多(分别为 5.0% 和 3.8%:P = .02),并且很少发生非乳腺癌死亡(分别为 0.5% 和 0.2%;[RR, 1.29, 95% CI, 0.75-2.24])。
04
哌柏西利未能使早期HR+患者获益
激素受体阳性(HR+)早期乳腺癌(eBC)的多学科护理进展显著改善了临床结果,然而,疾病复发仍可能发生,特别是在诊断时的中度或高危癌症患者。使用CDK4/6抑制剂(CDK4/6i)联合内分泌治疗(ET)是晚期乳腺癌的标准治疗,支持了在eBC环境中研究CDK4/6i的基本原理。在这里,我们提出了全球III期PALLAS试验的最终方案计划分析,研究在辅助ET中添加CDK4/6i哌柏西利(P)是否比单独ET改善HR+/HER2-EBC的预后。
PALLAS(NCT02513394)是一项随机III期开放标签试验,II-III期HR+/HER2-EBC患者随机接受2年P伴辅助ET(P+ET)或单独ET。主要终点为侵袭性无病生存期(iDFS);次要终点包括远处无复发生存期(DRFS)、局部无复发生存期(LRRFS)、总生存期(OS)和安全性。
在中位随访 31 个月时,哌柏西利联合组的 252 名患者和仅 ET 组的 263 名患者发生了侵袭性无病生存 (iDFS) 事件概率相似(8.8%vs9.1%);同样,4 年 iDFS 率分别为 84.2% 和 84.5%(风险比,0.96;95% CI,0.81-1.14;P = .65)。差异无统计学意义。
在接受哌柏西利治疗的患者中没有发现新的安全信号。3级或4级中性粒细胞减少是最常见的副作用(安全人群:1759/2841[61.9%]vs11/2902[0.4%])
随着事件的全部发生,PALLAS试验的分析显示,在持续的辅助ET中加入2年的P并不能改善II-III期HR+/HER2-eBC患者的生存终点。哌柏西利是否对某些亚组患者的辅助治疗有益,将通过长期随访和正在进行的转化科学项目进行进一步评估。
05
首款可以口服SERD来了!
Elacestrant(艾拉司群)是Radius公司研发的一款口服选择性雌激素受体降解剂,曾在2018年获得了FDA授予的快速通道资格。2021年10月20日,Menarini /Radius Health宣布口服雌激素受体降解剂elacestrant针对ER+/HER2-晚期或转移性乳腺癌乳腺患者的的III期EMERALD研究获得了积极阳性结果。
EMERALD试验是一项III期随机、开放标签、对照研究,旨在评价elacestrant在二线或三线以单药治疗ER +/HER2-晚期/转移性乳腺癌患者的疗效及安全性,探索患者以每日一次的口服用药治疗的可行性。
大家可以关注公众号”三阴姐妹互助圈“下载三阴乳腺癌的治疗资料包和添加病友群,请扫下面的二维码。

该研究共纳入466例既往接受过一线或二线内分泌治疗及使用过CDK4/6抑制剂的患者,其中包括220例(47%)ESR1突变的肿瘤患者。患者随机接受elacestrant或研究者选择的内分泌药物治疗。研究的主要终点是总体患者人群和ESR1突变患者的PFS。次要终点包括总生存期(OS)、客观缓解率(ORR)和持续缓解时间(DOR)。
研究结果显示:总人群中艾拉司群组与标准治疗组相比较,中位PFS 2.79月vs 1.91月,疾病进展或死亡风险下降30%(HR=0.697 [95% CI: 0.552~0.88];P=0.0018),ESR1突变人群的艾拉司群组与标准治疗组相比较,中位PFS 3.78月vs 1.87月,疾病进展或死亡风险下降45%(HR=0.546 [95% CI:0.387~0.768];P=0.0005)。无论是总人群还是ESR1突变亚组人群均可延长患者PFS。
艾拉司群组与标准治疗组的主要(>10%)治疗相关的不良事件包括:恶心 (25.3% vs 8.7%), 呕吐(11% vs 2.6%)和乏力(11% vs 7.9%), 绝大部分不良反应为1或2级。两组治疗中断的不良事件发生率分别为6.3%和4.4%。3级及以上的不良事件发生率分别为7.2%和3.1%,主要为恶心(2.1% vs 0.9%)。两组均无治疗相关的死亡事件发生。
研究结果表明,艾拉司群作为全球首个针对晚期ER+/HER2-晚期乳腺癌患者(包含ESR1突变患者)口服SERD药物,无论是总人群还是ESR1突变人群均具有统计学差异的PFS和死亡风险的下降,并表现良好的安全性和耐受性,有潜力成为ER+/HER2-晚期乳腺癌患者二线及以上内分泌治疗的新选择。
06
国产CDK4/6i
达尔西利将疾病进展风险降低58%
DAWNA-1研究是由国家新药(抗肿瘤)临床研究中心主任徐兵河教授牵头的一项评价CDK4/6抑制剂达尔西利联合氟维司群治疗既往内分泌治疗复发或进展的激素受体阳性(HR+)/人表皮生长因子受体2阴性(HER2-)晚期乳腺癌疗效与安全性的Ⅲ期临床研究。在这项随机、双盲、3期试验中纳入了361例HR+/HER2-局部晚期或转移性乳腺癌患者。符合条件的患者按2:1随机分配达尔西利或安慰剂,每 28 天为一个治疗周期,每三周停药一周,直至疾病进展、毒性不可耐受或其他需要终止治疗的情况。
根据研究者分析结果,达尔西利+氟维司群组与安慰剂+氟维司群组相比:
中位无进展生存时间:15.7个月vs 7.2个月(95%置信区间:11.1~未达终点、5.6~9.2个月)
进展或死亡风险:减少58%(风险比:0.42,95%置信区间:0.31~0.58,单侧P=0.00000002)
根据多因素比例风险回归模型亚组分析结果显示:无论其他影响因素如何,达尔西利+氟维司群组与安慰剂+氟维司群组相比,无进展生存时间都显著较长。
安全性数据显示,达尔西利+氟维司群最常见的3级或4级不良事件(AE)是中性粒细胞减少症(84.2%)和白细胞减少症(62.1%)。达尔西利+氟维司群组和安慰剂+氟维司群组的严重AE发生率分别为5.8%和6.7%。
07
首款CDK4/6i获FDA批准治疗早期乳腺癌,将复发风险降低37%!
2021 年 10 月 13 日,FDA 批准阿贝西利联合内分泌治疗用于辅助治疗激素受体阳性、HER2 阴性、淋巴结阳性、复发风险高且 Ki-67 评分≥20% 的早期乳腺癌成人患者。这是这类患者获批的首个CDK4/6抑制剂。
MonarchE是一项开放性的III期研究,纳入了激素受体阳性、HER2 阴性、淋巴结阳性、切除的早期乳腺癌的成年女性和男性,其临床和病理特征与疾病复发的高风险一致。这些患者按1:1随机分为阿贝西利(150 mg,2次/d)+内分泌疗法(ET)或单纯ET治疗。
在总共 2003 名复发风险高且 Ki-67 评分为 20% 或更高的患者中,使用阿贝西利后可以观察到 iDFS 有统计学意义上的显著改善(HR=0.626;95% CI,0.488-0.803;P = .0042)。接受阿贝西利+他莫昔芬或芳香化酶抑制剂 (AI) 的患者 36 个月的 iDFS 率为 86.1%(95% CI,82.8-88.8),而单独接受他莫昔芬或芳香酶抑制剂(AI)的患者为 79.0%(95% CI,75.3-82.3)。
最常见不良反应包括腹泻、感染、中性粒细胞减少、疲劳、白细胞减少、恶心、贫血和头痛。
1月5日,礼来制药公司宣布其抗癌新药CDK4/6抑制剂阿贝西利(Abemaciclib)正式获得国家药品监督管理局(NMPA)批准,与芳香化酶抑制剂联合用于激素受体(HR)阳性、HER2阴性的局部晚期或转移性绝经后女性乳腺癌初始内分泌治疗,或与氟维司群联合用于内分泌治疗失败的晚期或转移性HR阳性、HER2阴性女性乳腺癌患者。
此次NMPA的获批基于一项在中国HR+/HER2-绝经后晚期乳腺癌女性患者中进行的III期临床研究——MONARCH plus。该研究分为两组,队列A(n = 306)为联合芳香化酶抑制剂(AI)作为激素受体阳性晚期乳腺癌的初始内分泌治疗;队列B(n = 157)为联合氟维司群作为激素受体阳性晚期乳腺癌初始内分泌治疗进展后治疗。
结果显示,队列A中,阿贝西利+AI组与安慰剂+AI组的中位PFS分别为未达到和14.73个月;队列B中,阿贝西利+氟维司群组与安慰剂+氟维司群组的中位PFS分别为11.47个月和5.59个月。无论联合哪种内分泌治疗,CDK4/6抑制剂阿贝西利均能够显著提高反应率,延长患者的PFS。
在安全性方面也是可以耐受的。阿贝西利的主要不良反应是腹泻,两组整体腹泻发生率为80%,但绝大多数为1-2级,3级腹泻发生率较低,其中阿贝西利+AI组为3.9%,阿贝西利+氟维司群为1.9%,没有4级腹泻。
08
二甲双胍失利:
不能治疗HR阳性乳腺癌
3 CCTG MA.32 试验 (NCT01101438) 中研究人员试图确定二甲双胍能否根据肥胖与乳腺癌预后不良之间的关联以及该药物促进体重减轻和降低胰岛素水平的能力来诱导更好的肿瘤反应。
与安慰剂相比,二甲双胍每天两次服用 850 毫克,持续 5 年,4 周后每天服用一次。如果患者在 1 年内被诊断为浸润性乳腺癌并且手术后切缘阴性,则他们有资格参加这项研究。肿瘤必须分期为 T1c 到 T3 和 N0 到 N3,T1cN0 需要额外的不良特征。所有患者都必须接受标准的乳腺癌治疗并且没有糖尿病。
主要分析对象为 ER/PR 阳性乳腺癌患者,二甲双胍组有 1268 名患者,安慰剂组有 1265 名患者。他们的中位年龄分别为 52(范围,25-74)和 53(范围,25-74)岁,62.1% 和 60.2% 为绝经后。共有 52.5% 和 54.2% 的肿瘤分期为 T2,大多数疾病为 2 级或 3 级。此外,16.5% 和 17.4% 的患者为 HER2 阳性疾病,97% 的患者接受曲妥珠单抗(赫赛汀)治疗。
结果分析表明:雌激素受体 (ER) 阳性和 PR 阳性疾病患者的结局在二甲双胍组和安慰剂组之间相似,分别有 18.5% 和 18.3% 的患者出现了 IDFS 事件(HR,1.01;95% CI,0.84-1.21;P = .93)。两组间远处、局部/区域和对侧侵袭性复发率以及新原发癌的发生率相似。
总的来说,二甲双胍组有 131 名患者 (10.3%) 死亡,而安慰剂组为 119 名 (9.9%)(HR,1.10;95% CI,0.86-1.41;P = .47)。二甲双胍组的死因包括乳腺癌(n = 99;7.8%)、其他原发性恶性肿瘤(n = 15;1.2%)和心血管疾病(n = 4;0.3%)以及其他因素(n = 13;1.0%),比率与安慰剂组相似。
二甲双胍组共有 21.7% 的患者经历了 3 级或更高级别的不良反应,而安慰剂组为 18.7%。症状包括恶心、呕吐、腹胀和腹泻。
由此可以得知,在标准治疗的基础上使用二甲双胍不能改善ER/PR+(任意HER2表达)和ER/PR-(任意HER2表达)患者的IDFS、OS以及其他乳腺癌相关结局。因此,这类乳腺癌患者不应在标准治疗的基础上加用二甲双胍。
09
第二款国产CDK4/6i来袭,
患者到底该怎么选?
复星医药原研的CDK4/6抑制剂FCN-437c是一种二代口服选择性CDK4/6抑制剂,在体外研究中,显示出良好的抗肿瘤活性。2021年6月9日,美国《新药研究》在线发表复旦大学附属肿瘤医院张剑和胡夕春教授领衔的一项研究报告,探讨了国产CDK4/6抑制剂FCN-437c对中国激素受体阳性HER2阴性晚期乳腺癌患者的安全性、最大耐受剂量、药物代谢动力学和抗肿瘤活性。
这是一项针对晚期HR+/HER2-BC女性患者的1a期、多中心、开放标签、单臂剂量递增的研究。本研究的主要目的是评估安全性/耐受性,并确定FCN-437c作为单一药物的最大耐受剂量(MTD)。
该试验按照3+3研究设计,进行剂量递增(每日50、100、200、300、450和600mg)。患者在空腹条件下口服FCN-437c,连续服用7天,每天一次,持续21天停7天(28天循环)。所有筛查患者均签署知情同意,并同意遵守该研究方案。
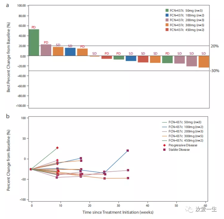
2019年2月13日至2020年4月15日,中国大陆三个研究中心共入选17例患者,接受FCN-437c 50mg(n=3)、100mg(n=3)、200mg(n=3)、300mg(n=6)和450mg(n=2)。平均年龄为45.0岁(范围为35-67岁),大多数患者(88.2%)年龄为≤65岁。
在安全性方面:接受450mg剂量组的两名患者经历了DLTs(剂量限制毒性),在300mg及以下剂量下未见DLT。治疗相关的血液学TRAE为白细胞减少症(n/N=16/17,94.1%)、中性粒细胞减少症(n/N=15/17,88.2%)、贫血(n/N=11/17,64.7%)和血小板减少症(n/N=8/17,47.1%)。治疗相关的非血液学TRAE为心电图QT间隔延长(N/N=5/17、29.4%)、低蛋白血症(n/N=5/17、29.4%)和皮疹(n/N=5/17、29.4%)。值得一提的是,没有≥3级非血液学TRAE的报告。
当剂量高于100mg时,有6名患者需要进行剂量减少(35.3%),10名患者需要进行剂量中断(58.8%)来管理血液学毒性。在50毫克或100毫克的剂量水平时没有剂量调整或中断发生。
在15例可评估的患者中,9例患者出现SD(疾病稳定)(60%);中值PFS为3.91个月(95%可信区间:2.07-7.62),未达到中值OS。
本文仅供医学药学专业人士阅读

.jpg-pd13)




-scaled.jpg-pd13)







X