尽管接近65%的EGFR突变型的非小细胞肺癌患者能够受益于EGFR抑制剂的治疗,但缓解的程度,以及持续的时间仍然存在一定的差异。
有些患者疗效良好而持久,能够获得5年甚至更长的稳定生存期;有些患者对药物治疗从开始就毫无响应、原发耐药;也有些患者原本疗效很好,但经过一段时间之后就不再响应,出现了获得性耐药。
我们一起来看一位73岁的肺腺癌患者的病例。
曾经获益超过57个月,因这个基因发生异常,疾病迅速进展
患者为女性,73岁,无吸烟史,通过支气管镜检查确诊,接受了肺左上叶切除术及淋巴结清扫术,经活检确认为Ⅱb期低分化型腺癌。
经检测,患者存在EGFR L858R突变,因此在术后接受了厄洛替尼辅助治疗(100 mg/d)。在24.7个月的厄洛替尼辅助治疗后患者仍未复发,因此停药进行观察。
在20.5个月后的一次复查中,影像学检查结果显示患者双肺出现了新的结节,右侧气管旁淋巴结肿大、硬化,经右上叶活检确认,病灶为原肺腺癌复发病灶。
随后患者完善了基因检测,发现仍然为EGFR L858R突变,且不存在T790M耐药突变,因此继续使用厄洛替尼治疗(100 mg/d)。这一次临床缓解持续了12.5个月,复查CT显示主要病灶右上叶肿块体积增大,疾病复发。
综合活检的结果以及基因检测的结果确认,患者存在MET扩增与MET 14外显子跳跃突变,仍然不存在EGFR T790M耐药突变、且L858R突变仍为阳性。也就是说,这一次导致了患者耐药且疾病进展的“元凶”,是MET的异常。
对于这种获得性耐药的情况,医生为这位患者选择了奥希替尼联合沃利替尼(Savolitinib)的临床试验(NCT02143466)。用药1.4个月后,患者因无法耐受副作用而停用沃利替尼,继续使用奥希替尼单药进行治疗(80 mg,qd)。
奥希替尼治疗2.4个月后,患者病情进展,改为克唑替尼方案(250 mg,bid),用药仅持续了1.9个月,疾病再次进展。
这一次,医生将方案更改为奥希替尼(80 mg,qd)与克唑替尼(250 mg,bid)的组合方案。患者耐受性良好,没有出现严重的副作用,随访2.3个月、4.6个月及7.7个月的影像学检查结果显示,患者的疾病控制比较稳定。
图示A为患者主要疾病进展时间线,图示B为患者历次检测结果,图示C为患者使用奥希替尼+克唑替尼方案后随访2.3个月、4.6个月及7.7个月影像学检查图像,疾病控制效果较好。图片来源参考文献[1]。
我们都知道克唑替尼是一款非常经典的ROS1/ALK抑制剂,在ROS1或ALK阳性患者的治疗中,有着“摧枯拉朽”般的出色疗效,缓解率高、持续时间长。但事实上,克唑替尼是一款多靶点抑制剂,其作用效果覆盖了ALK/ROS1/c-MET/MST1R多个靶标,在MET异常的患者的治疗、尤其是与奥希替尼的联合用药治疗中,仍具有一定的潜力。
MET异常与EGFR抑制剂耐药真的有关
吗?
MET异常与EGFR抑制剂耐药真的有关吗?尽管从许多病例以及统计学分析当中都可以观察到这一点,但是真正明确的作用机理才是能够令人信服的关键。
为了证明,研究者们进行了一些以细胞为基础的研究。
奥希替尼通过抑制EGFR及其下游效应子AKT及ERK的磷酸化来发挥作用,但发生了MET 14外显子跳跃突变的细胞,下游效应子的磷酸化并不受奥希替尼的影响。
检测结果显示,存在MET 14外显子跳跃突变的细胞,对于奥希替尼的敏感性降低了大约20倍,反馈于治疗当中,疗效自然显著降低,甚至导致耐药。
图片来源为参考文献[1]。
这个发生了异常,让患者对原本疗效非常好、先后获益超过57个月(24.7个月+20.5个月+12.5个月)的厄洛替尼方案发生了耐药,最终不得不连续更换方案且反复进展的基因,就是EGFR抑制剂重要的耐药基因、以及非小细胞肺癌重要的原发致病基因之一,也是我们本篇文章中主要探讨的基因,MET。
在第二个案例中,另一名Ⅳ期的肺腺癌患者,在对奥希替尼耐药之后,同样通过联合方案的治疗,获得了非常理想的疗效。
奥希替尼耐药,改用联合方案,病灶缩小46.5%
患者为男性,51岁,确诊为Ⅳ期肺腺癌。在接受奥希替尼治疗耐药后,基因检测结果显示为EGFR外显子19缺失突变、T790M突变,伴随MET扩增。
由于患者T790M突变和MET扩增共存,因此医生考虑为患者选择联合用药的方案,参与到了临床试验当中。使用克唑替尼(250 mg,bid)以及奥希替尼(80 mg,qd)的方案治疗,患者在42天复查时实现了部分缓解,肺部病灶缩小了46.5%,咳嗽、咳痰等症状明显改善。
图左为治疗前图像,图右为治疗42天复查图像。图片来源参考文献[2]。
在这位Ⅳ期肺腺癌患者的治疗中,克唑替尼与奥希替尼联手,取得了非常出色的疗效。截至研究报告发布时,患者仍在接受治疗。
携带MET扩增,对于奥希替尼的疗效真的
有影响吗?
看到克唑替尼与奥希替尼联合方案的疗效,自然也会有人发出疑问:这种疗效上的优势,究竟是来自于克唑替尼的帮助,还是奥希替尼自身“努力”的结果?
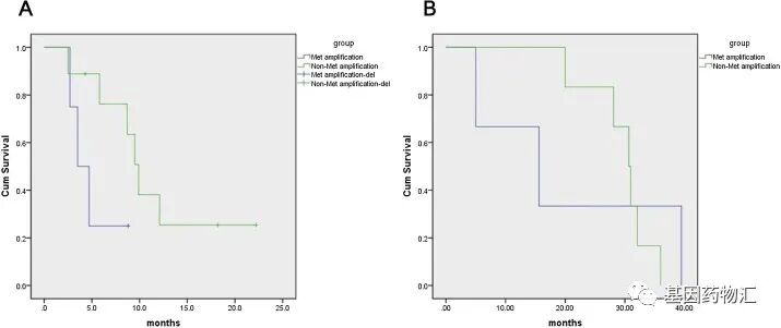
研究者们详细分析了MET扩增对于奥希替尼治疗的影响。结果显示,发生了MET扩增的患者与没有MET异常的患者相比,中位无进展生存期更短(3.5个月 vs 9.9个月),中位总生存期也更短(15.6个月 vs 30.7个月)。
图片来源参考文献[2]。
简单来说就是,存在MET扩增的患者,生存期缩短了将近一半。
本病例中的患者对于针对MET异常的治疗耐受性非常好,完成了充分的治疗,最终也取得了比较理想的效果。显然,针对性的治疗,对于发生了MET异常的EGFR抑制剂耐药患者,意义非凡。
在上述两个病例当中,患者在EGFR抑制剂治疗的过程中都经历了从敏感到耐药的变化,同时最后都尝试了EGFR抑制剂+MET抑制剂的联合用药方案。综合来看,在两位患者的治疗过程中,有三个非常关键的要点:
①每当病情发生变化时,及时通过基因检测,准确把握当前的疾病特点,从而精准选择治疗方案;
②选对治疗方案,并根据患者疾病的变化及时调整方案,更有针对性地抗癌;
③积极参与临床试验也是患者最终获益的根源之一。当现有的、已经获批上市的药物难以满足患者治疗需求的时候,临床试验将成为扭转困境的最有力帮手。
说了这么多,相信肺癌的患者们,尤其是已经对EGFR抑制剂耐药了的患者,对于MET异常都充满了好奇。那么,接下来就为大家简单讲一讲,什么是MET?MET异常都有哪些常见的类型?发生MET异常之后应该如何治疗?
什么是MET?
MET是一种基因的缩写,中文名称为酪氨酸激酶受体,由这种基因控制合成的蛋白质名称为c-MET。常见的MET异常类型包括MET过表达、MET扩增和MET 14外显子跳跃突变三类。
在非小细胞肺癌患者中,MET作为原发致癌突变时的占比并不高,大约在2%~4%;但超过20%的EGFR突变型非小细胞肺癌患者因继发的MET异常而产生了耐药,两者综合起来,MET异常的非小细胞肺癌患者的数量非常庞大。
MET异常患者的既往疗效如何?
整体来说,这类患者对于各种治疗方案的敏感性并不高。根据一项在WCLC上公开的报告,接受克唑替尼治疗的MET外显子14(MET ex14)跳跃突变患者整体缓解率21%,其中半数的患者仅仅持续了2.2个月的治疗,真正能够有效获益的数少数;接受铂类化疗和免疫治疗的患者缓解率更低,分别仅有9%和7%,其中半数的患者持续治疗的时间仅为2.8个月和2.4个月。
而MET抑制剂的问世,有力地扭转了这种治疗困境。
2020年至2021年初,特普替尼和卡马替尼两款MET抑制剂先后获批上市。这两款药物的响应率远超现有的其它药物,其中特普替尼治疗的整体缓解率达到42.4%,卡马替尼治疗的整体缓解率达到了67.9%,两款药物的疾病控制率均超过了90%,且缓解持续时间分别达到了12.39个月和9.72~11.14个月。
今年6月获批的我国首款MET抑制剂沃利替尼,治疗MET外显子14跳跃突变患者,整体缓解率为49.2%,疾病控制率达到了93.4%,中位缓解持续时间9.6个月。
就目前公开了临床试验数据的这几款MET抑制剂来分析,它们有一个非常亮眼的特点——疾病控制率都接近90%或更高。很显然,能够得到一种更匹配的药物的治疗,对于癌症患者的治疗结局来说意义重大。
图中数据截至2019年,仅供参考。
不同类型的MET异常,治疗有什么差异?
即使是使用MET抑制剂,也并非所有MET异常的患者都能取得最理想的疗效。根据目前已有的药物临床试验及研究结果,MET扩增和MET 14外显子跳跃突变两类异常的患者,使用现有药物的治疗效果相对较好。
在MET过表达、MET扩增和MET 14外显子跳跃突变的三类患者中,伯瑞替尼治疗的整体缓解率分别为30.6%、41.2%和66.7%;
克唑替尼治疗MET扩增患者整体缓解率16%,治疗MET 14外显子跳跃突变的患者整体缓解率32%;
卡马替尼治疗MET 14外显子跳跃突变的非小细胞肺癌患者整体缓解率可以达到67.9%;
一项使用奥希替尼+沃利替尼治疗第一、二代EGFR耐药后发生MET扩增的非小细胞肺癌的研究结果显示,联合用药方案治疗的整体缓解率为52%;
在前期研究中,沃利替尼治疗不同类型的MET异常患者,疗效也存在一些差异。
这样的差异,凸显了个性化治疗对于MET异常患者的重要性。
本文仅供医学药学专业人士阅读




.jpg-pd13)












X